之前我们分享过很多有用有趣的Python库,今天继续介绍一个:
SymPy 是一个Python库,专注于符号数学,它的目标是成为一个全功能的计算机代数系统,同时保持代码简洁、易于理解和扩展。
举一个简单的例子,比如说展开二次方程:
from sympy import *
x = Symbol('x')
y = Symbol('y')
d = ((x y)**2).expand()
print(d)
# 结果:x**2 2*x*y y**2你可以随便输入表达式,即便是十次方,它都能轻易的展开,非常方便:
from sympy import *
x = Symbol('x')
y = Symbol('y')
d = ((x y)**10).expand()
print(d)
# 结果:x**10 10*x**9*y 45*x**8*y**2 120*x**7*y**3 210*x**6*y**4 252*x**5*y**5 210*x**4*y**6 120*x**3*y**7 45*x**2*y**8 10*x*y**9 y**10下面就来讲讲这个模块的具体使用方法和例子。
1.准备
请选择以下任一种方式输入命令安装依赖:
1. Windows 环境 打开 Cmd (开始-运行-CMD)。
2. MacOS 环境 打开 Terminal (command 空格输入Terminal)。
3. 如果你用的是 VSCode编辑器 或 Pycharm,可以直接使用界面下方的Terminal.
pip install Sympy
2.基本使用
简化表达式(化简)
sympy支持三种化简方式,分别是普通化简、三角化简、指数化简。
普通化简 simplify( ):
from sympy import *
x = Symbol('x')
d = simplify((x**3 x**2 - x - 1)/(x**2 2*x 1))
print(d)
# 结果:x - 1三角化简 trigsimp( ):
from sympy import *
x = Symbol('x')
d = trigsimp(sin(x)/cos(x))
print(d)
# 结果:tan(x)指数化简 powsimp( ):
from sympy import *
x = Symbol('x')
a = Symbol('a')
b = Symbol('b')
d = powsimp(x**a*x**b)
print(d)
# 结果:x**(a b)解方程 solve()
第一个参数为要解的方程,要求右端等于0,第二个参数为要解的未知数。
如一元一次方程:
from sympy import *
x = Symbol('x')
d = solve(x * 3 - 6, x)
print(d)
# 结果:[2]二元一次方程:
from sympy import *
x = Symbol('x')
y = Symbol('y')
d = solve([2 * x - y - 3, 3 * x y - 7],[x, y])
print(d)
# 结果:{x: 2, y: 1}求极限 limit()
dir=’ ’表示求解右极限,dir=’-‘表示求解左极限:
from sympy import *
x = Symbol('x')
d = limit(1/x,x,oo,dir=' ')
print(d)
# 结果:0
d = limit(1/x,x,oo,dir='-')
print(d)
# 结果:0求积分 integrate( )
先试试求解不定积分:
from sympy import *
x = Symbol('x')
d = integrate(sin(x),x)
print(d)
# 结果:-cos(x)再试试定积分:
from sympy import *
x = Symbol('x')
d = integrate(sin(x),(x,0,pi/2))
print(d)
# 结果:1求导 diff()
使用 diff 函数可以对方程进行求导:
from sympy import *
x = Symbol('x')
d = diff(x**3,x)
print(d)
# 结果:3*x**2
d = diff(x**3,x,2)
print(d)
# 结果:6*x解微分方程 dsolve( )
以 y′=2xy 为例:
from sympy import *
x = Symbol('x')
f = Function('f')
d = dsolve(diff(f(x),x) - 2*f(x)*x,f(x))
print(d)
# 结果:Eq(f(x), C1*exp(x**2))3.实战一下
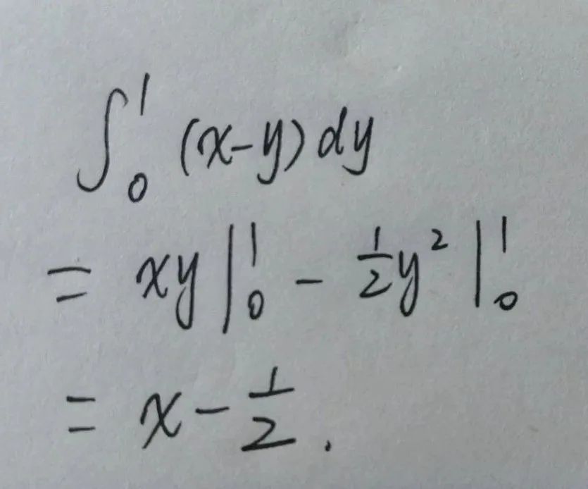
今天群里有同学问了这个问题,“大佬们,我想问问,如果这个积分用Python应该怎么写呢,谢谢大家”:

# Python 实用宝典
from sympy import *
x = Symbol('x')
y = Symbol('y')
d = integrate(x-y, (y, 0, 1))
print(d)
# 结果:x - 1/2为了计算这个结果,integrate的第一个参数是公式,第二个参数是积分变量及积分范围下标和上标。
运行后得到的结果便是 x - 1/2 与预期一致。
如果大家也有求解微积分、复杂方程的需要,可以试试sympy,它几乎是完美的存在。
到此这篇关于Python SymPy实现秒解微积分详解的文章就介绍到这了,更多相关Python SymPy微积分内容请搜索Devmax以前的文章或继续浏览下面的相关文章希望大家以后多多支持Devmax!