前言:
今天聊一聊 pytorch 的计算图和自动求导,我们先从一个简单例子来看,下面是一个简单函数建立了 yy 和 xx 之间的关系

然后我们结点和边形式表示上面公式:


上面的式子可以用图的形式表达,接下来我们用 torch 来计算 x 导数,首先我们创建一个 tensor 并且将其requires_grad设置为True表示随后反向传播会对其进行求导。
x = torch.tensor(3.,requires_grad=True)
然后写出
y = 3*x**2 4*x 2
y.backward() x.grad
通过调用y.backward()来进行求导,这时就可以通过x.grad来获得x的导数
x.requires_grad_(False)
可以通过requires_grad_让x不参与到自动求导
for epoch in range(3): y = 3*x**2 4*x 2 y.backward() print(x.grad) x.grad.zero_()
如果这里没有调用x.grad_zero_()就是把每次求导数和上一次求导结果进行累加。
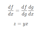
链式法则


相对于 z 对 x 求偏导时,我们可以将 y 看成常数,这样 x 导数是 1 那么

x = torch.tensor([1.,2.,3.],requires_grad=True)
y = x * 2 3 z = y **2
out = z.mean() out.backward()
print(out) #tensor(51.6667, grad_fn=<MeanBackward0>)
print(x.grad) #tensor([ 6.6667, 9.3333, 12.0000])
对于一个简单的网络,我们可以手动计算梯度,但是如果摆在你面前的是一个有152 层的网络怎么办?或者该网络有多个分支。这时你的计算复杂程度可想而知。接下来会带来更深入自动求导内部机制
到此这篇关于在 pytorch 中实现计算图和自动求导的文章就介绍到这了,更多相关 pytorch 计算图 内容请搜索Devmax以前的文章或继续浏览下面的相关文章希望大家以后多多支持Devmax!